《雷霆远征》游戏中仲裁者兵种怎么样?仲裁者是游戏中的核心,控制着整体的战斗节奏,很多玩家表示不知道仲裁者的特色是什么,那么接下来小编为大家带来《雷霆远征》仲裁者兵种攻略,一起来看看吧。
一、仲裁者的定位和作用
1、兵种定位
在原铸星际战士部队中,存在着一个核心力量——仲裁者,他们依靠着更强的身体与更先进的装备弥补了与其他星际战士部队之间的经验差距,在一个队伍中因为有了他们,才有了爆炸的输出伤害,并且自从仲裁者们被原体基利曼启用以来,他们就用手中的暴矢步枪证明着自己同样是帝皇怒火的化身。
作为一个攻击能力大于先锋老兵,处于中上水准的兵种,前期发育他也是个不错的选择。但同时存在着双刃剑,和较高的输出相比,仲裁者的防御能力较低,在战斗中容易成为最快被消耗的对象,因此不适合于在目标血量较高的时候出场,可以考虑在敌方残血时给出致命一击。
2、被动技能
仲裁者的两个被动技能同样值得关注,火力压制可以对先锋老兵伤害增加15%,坦克者能对猎食者伤害增加20%。
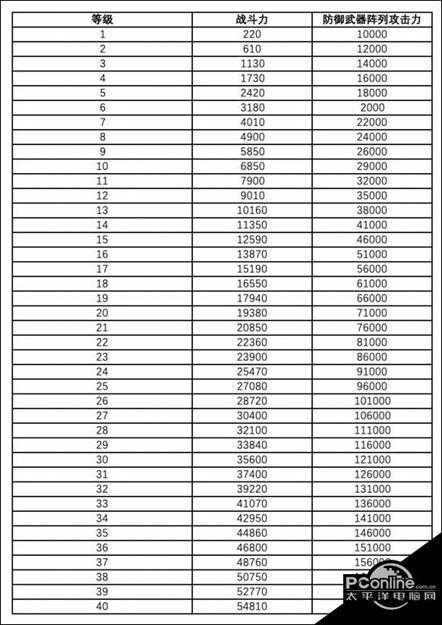
二、先锋老兵的等级与属性
虽然看上去仲裁者的攻击力还不错,可以被归为输出类型,但他的防御能力却是最低的,并且在前期和先锋老兵、无畏机甲的攻击力相差不大。
在消耗晋级资源上,相较于先锋老兵和无畏机甲,仲裁者需要的金属数量是最多的,在前期金属获取效率不高的情况下,如果过多的利用金属去发育仲裁者,并不是一件性价比高的事情,甚至会影响到整体的发展进度。
但是,从上面的属性数据来看,仲裁者要发育到level 5才能有明显的攻击提升,和先锋老兵以及无畏机甲拉开差距,所以他的爆发是在中后期的,因此,在前期不太推荐优先训练仲裁者。
《魔兽世界》大逃杀!60人新游玩模式《强袭风暴》3月21日上线
暴雪近日发布了《魔兽世界》10.2.6 更新内容,新游玩模式《强袭风暴》即将于3月21 日在亚服上线,届时玩家将前往阿拉希高地展开一场 60 人大逃杀对战。
艾泽拉斯的冒险者已经征服了艾泽拉斯的大地及遥远的彼岸。他们在对抗世界上最致命的敌人时展现出过人的手腕,并且成功阻止终结宇宙等级的威胁。当他们在为即将于《魔兽世界》资料片《地心之战》中来袭的萨拉塔斯势力做战斗准备时,他们还需要在熟悉的阿拉希高地面对一个全新的敌人──那就是彼此。在《巨龙崛起》10.2.6 更新的《强袭风暴》中,玩家将会进入一个全新的海盗主题大逃杀式限时活动,其中包含极高的风险和史诗级的奖励。
《强袭风暴》不是普通的战场,作为一个独立于主游戏之外的活动,玩家可以用大逃杀的风格来体验《魔兽世界》,不分职业、不分装备(除了你在赛局中捡到的),光是技巧和战略的强弱之分就能决定出谁才是能坚持到最后的赢家。本次活动将会开放单人和双人模式,玩家在加入海盗主题的预赛大厅区域前,可以从强袭风暴角色画面新增好友。游玩游戏将可以累计名望轨迹,《巨龙崛起》和《魔兽世界:巫妖王之怒 经典版》的玩家都可以获得奖励。
更新动态
- 小骆驼-《草原狼2(蓝光CD)》[原抓WAV+CUE]
- 群星《欢迎来到我身边 电影原声专辑》[320K/MP3][105.02MB]
- 群星《欢迎来到我身边 电影原声专辑》[FLAC/分轨][480.9MB]
- 雷婷《梦里蓝天HQⅡ》 2023头版限量编号低速原抓[WAV+CUE][463M]
- 群星《2024好听新歌42》AI调整音效【WAV分轨】
- 王思雨-《思念陪着鸿雁飞》WAV
- 王思雨《喜马拉雅HQ》头版限量编号[WAV+CUE]
- 李健《无时无刻》[WAV+CUE][590M]
- 陈奕迅《酝酿》[WAV分轨][502M]
- 卓依婷《化蝶》2CD[WAV+CUE][1.1G]
- 群星《吉他王(黑胶CD)》[WAV+CUE]
- 齐秦《穿乐(穿越)》[WAV+CUE]
- 发烧珍品《数位CD音响测试-动向效果(九)》【WAV+CUE】
- 邝美云《邝美云精装歌集》[DSF][1.6G]
- 吕方《爱一回伤一回》[WAV+CUE][454M]